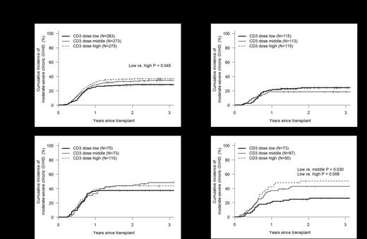
G-CSF mobilized PBSC allografts contain higher T-cell doses than bone marrow grafts and have been associated with a significantly higher risk of chronic GVHD. Higher CD34+ cell content in PBSC grafts has also been shown to predict higher rates of chronic GVHD and associated mortality 1,2 To mitigate this risk our center adopted a policy of capping CD34+ cell dose at 5 x 10e6/kg recipient weight for unmanipulated PBSC grafts. For this study, we assessed the effect of T-cell (CD3) dose administered under this capped CD34 strategy, on GVHD and other transplant outcomes. Consecutive first PBSC allografts for hematologic malignancy performed using the CD34 cap strategy between 2010 and 2022 (n=811) were included in this analysis. GVHD prophylaxis was tacrolimus/methotrexate for MRD and MUD and post-transplant cyclophosphamide based for Haplo. Patients receiving anti-T cell serotherapy or ex-vivo T-depletion were excluded. GVHD was uniformly assessed and graded by a dedicated practitioner for all cases. Patient characteristics were: median age 55 (18-80); 57% male; race -white 74%, black 21%, Asian 5%; diagnosis AML 38%, ALL 18%, MDS 18%, NHL 10%; donor type haplo 42%, MRD 32%, MUD 26%, %; high/v. high 25%, low/intermediate 73%; HCT-CI (0-2) 43%, (>3)57%, regimen - myeloablative 48%, RIC 31%, NMA 21%). Median follow-up for survivors was 64 (16-151) months. Median CD34 and CD3 doses infused were 5.0 x 10e6/kg (min 1.59) and 17.3 x 10e7/kg (range 1.2-83.3) respectively. Median CD3 dose infused were higher with female donors (20.5 vs 15.5 x 10e7/kg, p<0.001) and older donors (18.6 vs 15.9 x 10e7 for donors aged >38 vs <38, p<0.001). The effect of Infused CD3 dose was assessed in terciles (ranges 1.2-13.5, 13.6-22, 22.1-83.3 x 10e7/kg). Median peripheral blood donor CD3 chimerism was 100% for all CD3 dose terciles at d 30, through 180 post-transplant. On univariate analysis - estimated 3-year survival, DFS, NRM, relapse and acute GVHD incidence were not significantly different between the low, middle and high CD3 terciles. In contrast, the cumulative incidence (CI) of moderate-to-severe chronic GVHD at 3 years was significantly higher in the highest vs lowest tercile (36.8% vs 28.6%, p=0.042) (Fig 1), while severe chronic GVHD (14.5% vs 13%) was not significantly different. On stratified Cox multivariable analysis comparing the highest to the lowest CD3 dose terciles - survival, DFS, NRM, relapse and acute GVHD were not significantly different. Moderate-to-severe chronic GVHD was significantly higher in the highest versus lowest tercile (HR 1.53, p=0.005). In order to address specific effects of CD3 dose for particular donor groups, we analyzed incidence of chronic GVHD by CD3 dose terciles separately for the three donor types (MRD n=258, MUD n=210 and Haplo n=343). Whereas the CI of moderate-to-severe chronic GVHD was not significantly different for lowest versus highest CD3 tercile in MRD and Haplo transplant recipients, it was significantly higher for MUD recipients (50% vs 26%, p=0.008, GRFS 29% vs 9%, p=0.005). On multivariable analysis, risk of moderate-to-severe chronic GVHD was significantly higher for the highest versus lowest CD3 dose terciles (HR 2.62, p=0.002) and for the middle vs lowest terciles (HR1.77, p=0.043) in MUD patients (Fig 1). In contrast, CD3 dose had no significant impact on chronic GVHD for MRD and Haplo recipients. This large retrospective analysis of PBSC allografts using a CD34 cap (<5 x 10e6/kg) shows that this approach produced infused CD3 doses ranging between 1.2 and 83.3 x 10e6 /kg. The median and upper limit of infused CD3 dose was lower than previously reported by studies with no CD34 cap 2,3. CD3 dose had a significant impact on the rate of moderate-to-severe chronic GVHD in MUD recipients. A prospective comparison of capped versus uncapped CD34 dosing may help determine the value of this strategy in mitigating GVHD risk of PBSC grafts. These data suggest the need for more aggressive GVHD prophylaxis in patients infused with higher CD3 doses in MUD patients.
1. Mohty M, Bilger K, Jourdan E, et al. Leukemia. 2003;17(5):869-875.
2. Zaucha JM, Gooley T, Bensinger WI, et al. Blood. 2001;98(12):3221-3227.
3. Saad A, Lamb L, Wang T, et al. Biol Blood Marrow Transplant. 2019;25(9):1875-1883.
Disclosures
Solh:Bristol-Myers Squibb: Speakers Bureau.
